GH4169 高溫合金強度高、硬度大,是典型的一種難加工材料,其材料本身的深孔加工一直都是機械行業的一個瓶頸問題。目前針對 GH4169高溫合金深孔加工主要采用的是傳
統鉆削加工,該方式存在刀具磨損嚴重、切削熱大和切削效率低等缺點[1],混合等離子體加工屬于放電加工方式的一種,可以加工一切金屬材料和非金屬導電材料。朱光[2] 將高壓激勵電弧應用于銑削加工。王強[3] 將電弧加工用于深孔加工中,為難加工材料提供了一種新思路、新方法。李淑玉等[4] 在研究電火花加工鎳基高溫合金 GH4169 時,提出峰值電流、脈寬、脈間、間隙電壓等參數是重要控制因素。劉嬌[5] 和袁方[6] 分別把等離子體加工技術應用于深孔臺階和深孔套料加工中。目前把混合等離子體加工方法用于 GH4169 高溫合金深孔加工中的研究較少,為了提高 GH4169 高溫合金深孔加工的效率和表面質量,本研究采用控制單因素和正交試驗的方法,采用極值法和灰色關聯度法進行數據處理,得出不同參數的影響序列和最佳參數值[7–9]。
1、 工具電極的設計與分析
設計了一種深孔加工專用的電極,主要用于各種難加工導電材料的深孔加工,解決傳統深孔加工中切削熱過高和刀具磨損嚴重等問題[10–11]。
結構特征主要包括電極前半段、電極后半段、外部絕緣層、導向條、切削液通道、容屑槽、排屑內孔、連接螺紋等。電極整體外側均勻分布 4 條切削液通道,用于從電極外部給電極內部供給切削液。電極前段的容屑槽用于容納加工碎屑,通過內孔可以更加順暢地排出;在工具電極加工過程中,導向條起到自動導向的作用,防止工具電極在加工過程中出現偏斜現象;螺紋段用于電極和刀桿的連接;在電極外側涂有一層致密絕緣層,防止工具電極在加工過程中出現漏電的現象,造成能量損失和破壞孔表面質量。采用等離子體加工技術實現難加工材料的深孔加工,將傳統深孔加工方法與特種加工方法相結合,以獲得具有一定尺寸的圓形深孔零件,主要結構如圖 1 所示。

2 、試驗設備及方案
本次試驗采用的是普通深孔加工機床,DXK–30V/3000A–S 直流脈沖電源(脈沖頻率為 50Hz),被加工工件材料為 GH4169 高溫合金,其尺寸為 φ48mm×520mm;工具電極為銅鎢合金電極,直徑為φ20mm;工作液為乳化液,設置目標加工深度為100mm,孔徑為 φ20mm。設定的加工參數有峰值電流、主軸轉速和電極進給速度,工藝效果衡量標準為工件材料去除率和孔的表面粗糙度。單位時間內材料的去除體積為材料去除率,其混合等離子體深孔加工整體結構如圖 2 所示。
2.1 單工藝試驗參數取值
在研究峰值電流對工藝效果的影響時,取主軸轉速為 50rad/min,電極進給速度為 0.83mm/min;當研究主軸轉速對工藝效果的影響時,取峰值電流為 20A,電極進給速度為
0.83mm/min;當研究電極進給速度對工藝效果的影響時,取峰值電流為20A,主軸轉速為 50rad/min,單工藝試驗參數的取值如表 1 所示。

2.2 正交試驗的建立
為探究各參數對材料去除率和孔表面粗糙度影響規律的主次順序,進行了 3 因素 4 水平的正交試驗,各水平的參數值如表 2 所示。
3 、試驗結果分析
3.1 各參數對材料去除率的影響規律
運用控制單因素試驗的方法,可以得到不同參數值對試驗結果的影響規律,本次試驗主要從峰值電流、主軸轉速和電極進給速度的不同取值來分析對材料去除率和表面粗糙度的影響規律[12–15],各參數對材料去除率的影響規律如圖 3 所示。可以看出,隨著峰值電流和主軸轉速的提高,工件的材料去除率也慢慢變大,在峰值電流為 15~20A,主軸轉速在
100~150rad/min,材料去除率呈現較為緩慢的增長趨勢;當電極進給速度在 0.3~0.9mm/min 時材料去除率線性增長,電極進給速度在 0.9~1.2mm/min 時,材料去除率開始降低,這是因為當電極進給速度過快,電極與工件接觸發生短路導致材料去除率降低。

3.2 各參數對表面粗糙度的影響規律
各參數對表面粗糙度的影響規律如圖 4 所示??梢钥闯?,當峰值電流取值為 10~30A 時,隨著峰值電流的增加,表面粗糙度變大,這是因為峰值電流的大小決定放電的脈沖能量,脈沖能量越大,表面粗糙度就越高[16–17]。當主軸轉速在 50~250rad/min變化時,工件的表面粗糙度越來越小,這是因為隨著主軸轉速的提高,電極和工件放電的次數增多,且均勻性更好,因此表面質量提高。當電極進給速度在 0.3~0.6mm/min 變化時,表面粗糙度變大,這是由于放電間隙過大,導致放電狀態不穩定,工件粗糙度變大;當電極進給速度在0.6~0.9mm/min 變化時,電極進給速度和工件蝕除基本保持一致,放電間隙穩定,工件表面粗糙度降低;電極進給速度在 0.9~1.2mm/min 變化時,由于電極的損耗,放電狀態和均勻性都降低[18],因此表面粗糙度又呈現出增高的趨勢。

3.3 正交試驗結果分析
正交試驗采用 3 因素 4 水平 2指標正交試驗,共有 16 組試驗,對每組試驗的結果進行測量,其測量結果如表 3 所示。

運用極差法可以分析不同參數對試驗工藝效果影響大小的主次順序,影響因素所對應的極差值越大,說明該因素對工藝效果的影響程度就越大,其計算結果如表4和5所示。

根據表 4 和表 5 的結果進行分析,3 個加工參數對材料去除率的影響順序為峰值電流 > 主軸轉速 >電極進給速度,對表面粗糙度的影響順序為峰值電流 > 電極進給速度 >主軸轉速。
3.4 基于正交試驗的參數優化
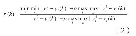
(1)工藝指標的量綱歸一化。

式中,k 值由試驗的組數決定,一共 16組試驗,因此 k 取值為 1~16;i 表示工藝指標,本次試驗有兩個工藝指標,i 取 1和 2,其中 1 表示材料去除效率,2 表示加工后孔的表面粗糙度;xi(k)表示第i 個指標下的第 k 次試驗;yi(k)表示對應的 xi(k)量綱歸一化后的值。
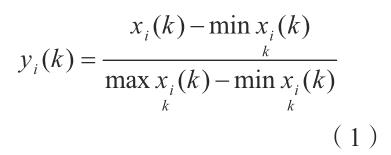
(2)計算關聯度系數 ri(k),灰色關聯度系數表示歸一化處理后的數據列和理想序列的關系。

式中,ri(k)為第 i 個指標下第 k 次試驗所對應的灰色關聯系數;yi0 為理想序列,這里對于材料去除率 yi0 取 1,對于表面粗糙度,yi0 取 0;ρ 為分辨系數,在 (0,1)內取值,若 ρ 越小,灰色關聯系數差異越大,區分能力越強,通常 ρ 取 0.5。
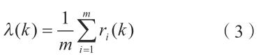
(3)計算灰色關聯度值 λ(k)。

式中,λ(k)為第 k 次試驗的灰色關聯度值,在這里 m=2。通過以上計算,可求得基于每組正交試驗的關聯度值和參數在各水平下的平均關聯度值,如表 6 和 7所示。


通過灰色關聯度的方法對正交試驗的結果進行驗證,可以得出理論最優的一組試驗參數值,分別為峰值電流在水平 2 時灰色關聯度值最大,故取值 25A;主軸轉速在水平 1 時灰
色關聯度值最大,取值 75rad/min;電極進給速度在水平 1 時灰色關聯度值最大,取值 0.45mm/min。
3.5 加工試驗
在之前試驗的基礎上,重新設定試驗參數,分別取峰值電流 25A、主 軸 轉 速 75rad/min、電 極 進 給 速度 0.45mm/min 進 行 加 工 試 驗,試驗結果如圖 5 所示。測得材料去除率為 158.65mm3/min,表面粗糙度為1.9μm,計算出灰色關聯度為 0.8732,都大于正交試驗表 6 中的灰色關聯度值,因此,此參數組合為最佳的一組。
4、 結論
本研究通過單目標試驗法、極值分析法、灰色關聯度分析法對試驗的加工工藝進行研究,得出以下 3 個結論。
(1)通過單目標試驗法研究每個試驗參數對試驗加工指標的影響規律,隨著峰值電流的增大,工件材料的去除率也會變大,工件的表面粗糙度升高;主軸轉速升高,材料去除
率增加,表面粗糙度降低;電極進給加快,工件的加工效率增大,但進給速度過快會造成短路、加工效率降低和工件表面粗糙度增大。
(2)建立正交試驗,通過極值法分析可以得出各參數對材料去除率的影響順序為峰值電流 > 主軸轉速 >電極進給速度,對表面粗糙度影響的順序為峰值電流 > 電極進給速度 >
主軸轉速。
(3)通過灰色關聯度法的分析,計算最佳的試驗參數組合為峰值電流 25A、主軸轉速 75rad/min、電極進給速度 0.45mm/min,通過試驗驗證,測得材料去除率為 158.65mm
3/min,表面粗糙度為 1.9μm,計算出的灰色圖 5 試驗結果
Fig.5 Experimental results
(a)試驗加工
(b)試驗成品
關聯系數為 0.8732,證明了灰色關聯度分析的正確性。
參考文獻
[1]李錄彬 . 高壓冷卻下鎳基高溫合金GH4169 切削特性及冷卻潤滑機理研究 [D]. 哈爾濱 : 哈爾濱理工大學 , 2019.
LI Lubin. Research on cutting characteristics and lubrication-cooling mechanism of Ni-based superalloy GH4169 under high pressure cooling[D]. Harbin: Harbin University of Science and Technology, 2019.
[2] 朱光 . 高壓激勵電弧銑削加工技術及機理研究 [D]. 濟南 : 山東大學 , 2020.
ZHU Guang. Research on the technology and mechanism of high voltage excitation electro-arc machining[D]. Jinan: Shandong University, 2020.
[3] 王強 . 強電弧法深孔套料加工技術的研究 [D]. 西安 : 西安石油大學 , 2015.
WANG Qiang. Study on the strong arc in deep hole trepanning processing[D]. Xi’an: Xi’an Shiyou University, 2015.
[4]李淑玉 , 孟輝 , 李強弟 . 高溫合金GH4169 的電火花加工工藝性研究 [J]. 機床與液壓 , 2019, 47(17): 120–124.
LI Shuyu, MENG Hui, LI Qiangdi. Study on EDM process technology of superalloy GH4169[J]. Machine Tool & Hydraulics, 2019, 47(17): 120–124.
[5] 劉姣 . 電熔爆技術在深臺階孔加工中應用研究 [D]. 西安 : 西安工業大學 , 2013.
LIU Jiao. The application research of EME technology in deep steps hole processing[D].Xi'an: Xi'an Technological University, 2013.
[6] 袁方 . 電火花深孔套料加工研究 [D].西安 : 西安石油大學 , 2010.
YUAN Fang. Study of deep-hole trepanning mechanism of EDM[D]. Xi’an: Xi’an Shiyou University, 2010.
[7] YIN C, WANG Y L, HE Y, et al.Early fault diagnosis of ball screws based on 1-D convolution neural network and orthogonal design[J]. Journal of Risk and Reliability, 2021,235(5): 783–797.
[8]BAI B, LI Z, ZHANG J Y, et al.Application of support vector machine-based classification extremum method in flexible mechanism[J]. Journal of Mechanisms and
Robotics, 2020, 12(4): 041014.
[9]REDDY J J, VARAPRASAD B J S, REDDY P V. Multi-objective optimization of erosion parameters of erodible soils using Taguchi-based gray relation analysis[J]. ArabianJournal of Geosciences, 2021, 14(17): 1–12.
[10] 王文建 , 劉宇 , 毛紅梅 , 等 . 電火花加工多材質電極制備方法及試驗研究 [J].現代制造工程 , 2021(1): 6–11, 51.
WANG Wenjian, LIU Yu, MAO Hongmei,et al. Preparation method and experimental study of multi-material electrode for EDM[J]. Modern Manufacturing Engineering, 2021(1): 6–11, 51.
[11] 文武 , 王西彬 , 王營 , 等 . 多曲率油槽成形電極設計工藝方案綜合評價 [J]. 機電產品開發與創新 , 2021, 34(1): 18–21.
WEN Wu, WANG Xibin, WANG Ying, et al.Scheme design of electrical discharge machining electrode apply to oil pressure tank with many curvature by fuzzy synthesize evaluation[J].Development & Innovation of Machinery &Electrical Products, 2021, 34(1): 18–21.
[12] 王慧 , 王元剛 , 李曉鵬 . 基于峰值電流與脈沖寬度的微細電極控形研究 [J]. 現代制造工程 , 2021(5): 1–5.
WANG Hui, WANG Yuangang, LI Xiaopeng. Research on the shape wear control of micro electrode based on peak current and pulse width[J]. Modern Manufacturing Engineering,2021(5): 1–5.
[13]馮光磊 . 高主軸轉速非接觸給電微細電火花加工技術研究 [D]. 哈爾濱 : 哈爾濱工業大學 , 2019.
FENG Guanglei. Study on micro-EDM technology with high spindle speed using non-contact electric feeding method[D]. Harbin:Harbin Institute of Technology, 2019.
[14] 王博 , 周建平 , 木合塔爾 · 克力木 ,等 . 數控短電弧銑削加工最優進給速度研究[J]. 機械設計與研究 , 2016, 32(6): 110–112, 117.
WANG Bo, ZHOU Jianping, MUHETAR Kerim, et al. Study on the optimal feed rate in short arc milling[J]. Machine Design & Research, 2016,32(6): 110–112, 117.
[15] 徐凌羿 , 張勇斌 , 陳金明 , 等 . 微細電火花銑削進給速度與策略優化研究 [J].工程技術研究 , 2017(5): 5–8.
XU Lingyi, ZHANG Yongbin, CHEN Jinming, et al. Optimization of feed speed and strategy in micro EDM milling[J]. Engineering and Technological Research, 2017(5): 5–8.
[16]魯林 . 火花放電能量的實驗與研究 [D]. 沈陽 : 東北大學 , 2011.
LU Lin. Experimental research on spark discharge energy measurement[D]. Shenyang:Northeastern University, 2011.
[17] TATARENKOVA D I, KOROTEEVAE Y, KULI-ZADE T A, et al. Pulsed discharge-induced high-speed flow near a dielectric ledge[J].Experiments in Fluids, 2021, 62(7): 1–9.
[18] 吳江 , 李淋 , 趙之謙 , 等 . 電火花銑削放電中復合電極形狀損耗影響因素研究[J]. 電加工與模具 , 2021(S1): 30–34, 65.
WU Jiang, LI Lin, ZHAO Zhiqian, et al.Research on influencing factors of composite electrode shape wear in electric discharge milling[J]. Electromachining & Mould, 2021(S1):30–34, 65.
通訊作者:王帥,研究員,碩士,研究方向為特種加工。
相關鏈接